



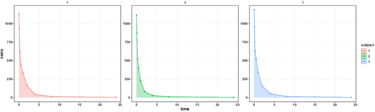
| Subject | b0 | CMAX | CMAXD | TMAX | TLAG | CLST | CLSTP | TLST | LAMZHL | LAMZ | LAMZLL | LAMZUL |
|---|---|---|---|---|---|---|---|---|---|---|---|---|
| 1 | 7.90557889985285 | 908.5932 | 908.5932 | 4 | 0 | 9.3486 | 9.71817401433272 | 24 | 2.95397187180416 | 0.234649214901495 | 4 | 24 |
| 2 | 7.58477681684899 | 787.2827 | 787.2827 | 4 | 0 | 8.1577 | 8.1617166958425 | 24 | 3.03273562647809 | 0.228555095441965 | 4 | 24 |
| 3 | 6.90409852511053 | 445.6481 | 445.6481 | 4 | 0 | 4.9184 | 4.81604358778232 | 24 | 0.222172740271905 | 0.222172740271905 | 4 | 24 |
ADMET prediction and optimization
Pharmacokinetic (PK) optimization
High Accuracy
Supports mechanistic studies
ADMET prediction for various types of biologics
Continuous model optimization based on proprietary data resources and state-of-the-art AI models